(3)權重的確定
采用“0~4評判法”確定豆奶各感官指標的權重。請10名評判員對色澤、組織狀態(tài)、氣味和滋味這四個因素兩兩進行重要性比較,根據相對重要性打分,各因素的得分情況如表3。

將每個因素所得的總分除以全部因素的總分之和,即為權重系數。則權重集A={0.23,0.20,0.29,0.28},即色澤為0.23,組織狀態(tài)為0.20,氣味為0.29,滋味為0.28。
(4)模糊關系綜合評判集
Y=A·R,式中:Y為綜合評判結果集,A為權重集,R為模糊矩陣。
7、骨泥高鈣豆奶飲料穩(wěn)定性實驗研究
(1)正交實驗設計
根據單因素實驗的結果上,選定穩(wěn)定系數較大的四種穩(wěn)定劑羧甲基纖維素鈉、卡拉膠、蔗糖脂肪酸酯、單脂肪酸甘油酯進行復配。實驗采用L9(34)正交設計來確定最佳的復合穩(wěn)定劑組合。因素水平見表4。

(2)穩(wěn)定性測定方法
將調配好的豆奶稀釋100倍,用可見分光光度計在540hm處測定吸光值A1,再用臺式高速離心機4000r/min離心5min,取上清液稀釋100倍在同樣波長下測定吸光值A2,穩(wěn)定系數:R=A2/A1,且R越大,穩(wěn)定性越好。
8、理化指標的測定
(1)豆奶中脂肪含量的測定
參照氯仿甲醇提取法測定豆奶中脂肪含量,將試樣分散于氯仿-甲醇混合液(CM混合液)中,CM混合液形成提取脂類的溶劑,在使樣品組織中結合態(tài)脂類游離出來的同時與磷脂等極性脂類的親和性增大,從而有效地提取出全部脂類,經過濾除去非脂成分和提取殘留之類后定量,計算出脂肪含量。
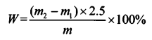
計算公式:

式中:
W一脂類質量分數;
m——試樣質量,g;
m2——稱量瓶與脂類質量,g;
m1——稱量瓶質量,g;
2.5——換算系數。
(2)豆奶中蛋白質含量的測定
參照GB5009.5-2016《食品中蛋白質的測定》,采用凱氏定氮法對豆奶中蛋白質含量進行測定。食品中的蛋白質在催化加熱條件下被分解,產生的氨與硫酸結合生成硫酸銨。堿化蒸餾使氨游離,用硼酸吸收后以硫酸或鹽酸標準滴定溶液滴定,根據酸的消耗量計算氮含量,再乘以換算系數,即為蛋白質的含量。
計算公式:

式中:
X——試樣中蛋白質的含量,g/100g;
V1——試液消耗硫酸或鹽酸標準滴定液的體積,mL;
V2——試劑空白消耗硫酸或鹽酸標準滴定液的體積,mL;
c——硫酸或鹽酸標準滴定溶液濃度,mol/L;
0.014——1.0mL硫酸[c(H2S04)=1.000mol/L]或鹽酸[C(HCI)=1.000mol/L]標準滴定溶液相當的氮的質量,g;
m——試樣的質量,g;
V3——吸取消化液的體積,mL;
F——氮換算為蛋白質的系數;
100——換算系數。
(3)豆奶中鈣含量的測定
參照GB5009.92-2016《食品中鈣的測定》,采用EDTA滴定法對豆奶中鈣含量進行測定,在適當的pH范圍內,鈣與EDTA(乙二胺四乙酸二鈉)形成金屬絡合物。以EDTA滴定,在達到當量點時,溶液呈現游離指示劑的顏色。根據EDTA用量,計算鈣的含量。
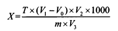
計算公式:

式中:X——試樣中鈣的含量,mg/kg或mg/L;
T——EDTA滴定度,mg/mL;
V1——滴定試樣溶液時所消耗的稀釋10倍的EDTA溶液的體積,mL;
V0——滴定空白溶液時所消耗的稀釋10倍的EDTA溶液的體積,mL;
V2——試樣消化液的定容體積,mL;
1000——換算系數;
m——試樣質量或移取體積,g或mL;
V3——滴定用試樣待測液的體積,mL。
9、數據處理方法
本研究采用SPSS24.0版軟件對實驗數據進行處理與分析,結果以均數±標準差表示,以P<0.05為差異有統(tǒng)計學意義。
聲明:本文所用圖片、文字來源《中國食品添加劑》,版權歸原作者所有。如涉及作品內容、版權等問題,請與本網聯系
相關鏈接:鈣,羧甲基纖維素鈉,卡拉膠,蔗糖脂肪酸酯